REDUCED 60 units caterpillar 3516B Diesel generator
REDUCED 60 units caterpillar 3516B Diesel generator
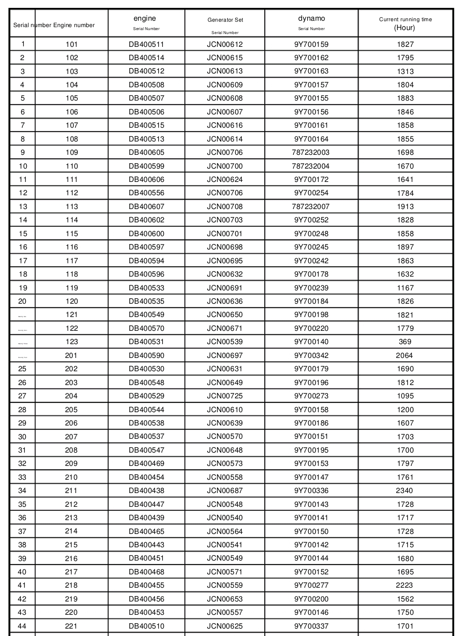
60 units 3516B Diesel generator
Year 2018 ,50 hz,400 voltage
Running 2k
Location Bangladesh
Reduce Each price 275,000 USD TAKING TEN OR OR MORE
Please check an attachment
PAYMENT METHODS:
Copyright: Asian Dragon International Enterprise. 2011-2026 All rights reserved.
DISCLAIMER:
Brand logos and other marks indicated on our website are trademarks or registered trademarks of the brand owner, or its subsidiaries and authorized distributors (collectively ), in the United States, Canada and/or other jurisdictions. Graphics, logos, page headers, button icons, scripts and service names are the trademarks or trade dress of the brand owners and their licensed distributors. Trademarks and trade dress are not used in connection with any product or service or in any manner that is likely to cause confusion among customers that we are authorized distributors of any brand or in any manner that disparages or discredits the brand . All trademarks, logo's or slogans not owned by Asian Dragon International that appear on this website are the property of their respective owners, who may or may not be affiliated with, connected to, or sponsored by Asian Dragon International.
Home
Subscribe
Daily Deals
Featured Deals
Hot Deals
Special Deals
Import/Export
Terms & Conditions
Samples
Purchase Policy
Categories
Scammer Alert
About
Contact